ОГЭ для обалдуев
16 Oct 2016 21:21Продолжаем учиться исправлять сочинения по моим комментариям. Это Севе дается намного тяжелее, чем просто писать! Потому что какая у него позиция? Написал - и с плеч долой. И гори все огнем. Понять, в чем ошибся, - никогда. Попробовать переделать - да ни боже мой. Так их приучила школа. И ему морально сложно сесть что-то переделывать. С большим удовольствием он писал бы новые сочинения. Но я борюсь с этим. Одно сочинение он практически не переделал, исправил только ошибки, я его ткнула носом и проговорила все заново. Сказала, что в следующий раз не отстану, пока не будет именно переписано все, что надо. Следующий раз настанет через неделю, так как на этой он мне сдал очередное сочинение, маленько похуже с литературной точки зрения, чем предыдущее, но с удовлетворительными аргументами. Я его прокомментировала и отдала. Посмотрим, что исправит...
А сегодня у нас был интенсив по математике. На котором тоже пришлось много раз исправлять и решать заново. Так что снова отрабатывали все те же грехи.
Просмотрев еще раз пособия, я поняла, как можно использовать Сканави, которое считается хорошим, но для нас сложновато и как-то хаотично. 

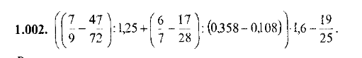
Вот такие примеры можно решать для тренировки аккуратности. Ведь очень много заданий не решается из-за ошибок в расчетах. В общем, во втором случае он ошибся, так как стал сначала упрощать и зашел в тупик, а надо было сначала составить пропорцию. Но потом справился.
Еще взяли две задачи из сложного раздела. Систему неравенств он решил, а с геометрией заткнулся в одном месте, а там был, оказывается, совсем простой ответ, хоть задачка на 3 балла! Вообще, мне все задачки простых разделов кажутся вообще не стоящими внимания, а первые две из сложного раздела - решаемыми. Собственно, все уравнения и неравенства оттуда Сева решает, алгебраические задачи - после разбора, геометрию - после намеков. То есть совсем чуть-чуть подработать, и все ОГЭ, кроме двух задач, будет ему по силам. Как только я пойму, что это свершилось, я выработаю постройнее систему занятий, так чтобы взять и самые сложные задания. Они, как мне кажется, все же чуть не дотягивают до олимпиадных. С функциями на 4 балла точно можно разобраться, если Егор разобрался в школе, без меня, и решил все правильно на экзамене. Геометрию на 4 балла можно натаскать, там все достаточно логично и без сюрпризов. И функции, и сложная геометрия стоят особняком у меня и будут рассматриваться весьма тщательно.
"На дом" распечатала ему задачки с этого сайта: http://otvet-gotov.ru/pages/zadacha.php?var=34&tb=zadachi
Мне понравилось, как там объясняется. А то вечно не найдешь решений ни на что или убогие какие-нибудь! Вот как детей готовить, если школы у них дебильные, а на репетиторов денег нет?
И самое главное и сложное - мы разбирали тренировочные задачки к Высшей пробе, на которую я зарегила Севу (без малейших шансов - но пусть будет). Решать он их пробовал сам на неделе. Это обычные олимпиадные задачки, надерганные из разных вариантов.
Итак, на первую задачу был дан верный ответ - и это, собственно, все :) Но когда я стала разбираться, получилась чуть более радостная картина. А у Севы, который поначалу стонал и закатывал глаза, стали появляться мысли.
2. Тут был какой-то тупеж, потому что Сева решил, что ответ 1, и не желал ничего слушать. Найденные в сети решения мне не помогли, но Ира решила так же, но с более подробными объяснениями, и Сева сел рисовать скамейки :)) Нарисовав разные варианты, он согласился с правильным ответом.
3. Тут все дело в том, что такой ответ получается, если все числа равны! А Сева считал, что такого быть не может, потому что буквы разные. В общем, в условии не сказано, что они не равны, так что тут задачка с подвохом, на умение читать условия... А так он совершенно верно расчитал следующий по порядку результат.
4. Он вообще не понял, что к чему. Я, признаться, тоже. Похоже, тоже задачка из серии "простое, маскирующееся под сложное". Потому что ответ находится элементарно: надо 2012 умножить на 3 и прибавить 5. Нашли в сети, я на такое тоже не способна.
5. Вот это как раз интересно, так как нечто подобное может встретиться в самой сложной задачке на ОГЭ. Никто из нас решить не смог. Нашли в инете подобную задачку с другими числами, но там, как обычно (чтоб всем этим решателям, которые пишут обрывочные решения, пусто было...), было не до конца. Довести до конца систему уравнений мы не смогли и снова обратились за помощью к Ире. Она тут же навела нас на верный путь, а решить все Сева попробует в качестве домашнего задания.
6. Тупо! Ох как тупо ошибаться в расчетах! А так все верно. И алгоритм он понял сразу, в отличие от меня. То есть задачи типа 3 и 6 он быстро раскусывает.
7. Вот бывает так: иногда ребенок соображает быстро, а тупит в очень странных местах. Он не увидел, что n+2!!! Он думал, что b+2. Эту задачу я решила сама, правда, имея в руках ответ. И методом подстановки - если и есть изящное решение, я его не знаю. Но и так решается быстро, надо перебрать всего несколько вариантов, отсчитывая от 120 назад, и там все время получаются ошибки, так что мы переходит к следующему числу и быстро доходим до нужного. Сева сказал, что решил бы точно так же, если бы понял условие. Ну, еще бы, эта задачка аналогична 3 и 6.
8. Тут у него были сомнения и два варианта ответов, один из которых оказался верным. Я не стала разбирать.
9. Тут Сева снова не поняла условие. Когда я объяснила и стала рисовать какие-то кресты, он, подумав, нарисовал все точки на одной прямой - и, кажется, это действительно верное решение, проверять нигде не стали.
Десятую задачу мы трогать не стали, так как и так были еле живы.
no subject
Date: 16 Oct 2016 18:30 (UTC)аккуратность - ни боже мой... куда там! Я сравнива сейчас для среднего задачи на сокращение дробей - пятый класс Петерсон и на год младше американскую школу. там дальше 5*6 поделить на 3*8 не идут. В то время как российские школьники учатся раскладывать на множители большие числа, пользоваться признаками делимости и т.п.
И с Ритухой хуже всего - в математике - даже переписать уравнение или неравенство лениво. Сразу в уме что-то наляпать...
А в штатовских школах совсем другая система оценок - дают задачи легкие совсем, но потом оценки снижают за любую промашку нещадно (у меня несколько лет ушло, чтобы вообще понять этот принцип и поверить в него). Типа 95% верно решено - уже четверка. не дай бог, 80% - уже трояк.
У нас в школах на математике было просто - 5 задач на контрольной, сколько решил правильно, такая и оценка. То есть четверка ставилась за 80% . И задачи были труднее.
а тут дают фигню всякую и именно аккуратность важна :(.
no subject
Date: 16 Oct 2016 18:34 (UTC)no subject
Date: 16 Oct 2016 18:37 (UTC)плохо с математическим образованием учителей, с программой по математике.
хорошие учителя попадаются, причем любые.
тут обидно, что собрались в долине все самые умы, но все умы заняты заработками.
no subject
Date: 16 Oct 2016 18:34 (UTC)http://mmmf.msu.ru/
там и онлайн кружок вроде есть.
no subject
Date: 16 Oct 2016 18:36 (UTC)no subject
Date: 16 Oct 2016 18:36 (UTC)no subject
Date: 16 Oct 2016 18:38 (UTC)no subject
Date: 18 Oct 2016 13:35 (UTC)